Характеристики
Подача, м3/ч
—
3.6
Напор, м
—
6.9
По запросу
Нашли дешевле?
Под заказ
Наши менеджеры обязательно свяжутся с вами и уточнят условия заказа
Описание
Циркуляционный насос с электронным регулированием для систем ГВС, одинарный с резьбовым соединением
* Обязательным параметром циркуляционных насосов высокой энергоэффективности является коэффициент EEI ≤ 0,18
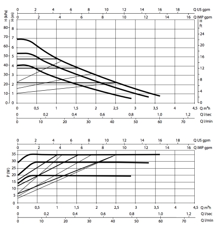
Справа от картинки даны крайние точки (подача при нулевом напоре, напор при нулевой подаче).
Подробные характеристики приведены в таблице:


Технические характеристики
| Модель |
Межосевое расстояние, мм |
Присоединение | Питание, В | P1 макс., Вт | In, А | ЕЕI* | Мин. давление на всасе | |
| t° | 90° | |||||||
| EVOSTA 2 SAN 40 -70/150 | 150 | 1"F | 1*230V∼ | 35 | 0,043-0,32 | 0,18 | м.вод.ст | 10 |
* Обязательным параметром циркуляционных насосов высокой энергоэффективности является коэффициент EEI ≤ 0,18
Справа от картинки даны крайние точки (подача при нулевом напоре, напор при нулевой подаче).
Подробные характеристики приведены в таблице:
| Подача, м3/ч | 0,0 | 0,3 | 0,6 | 0,9 | 1,8 | 2,4 | 3,0 | 3,6 |
| Напор, м | 6,9 | 6,9 | 5,8 | 5,1 | 3,4 | 2,4 | 1,6 | 0,8 |

Габаритные размеры

| Модель | L | L1 | B | B1 | B | H | F | Вес, кг |
| EVOSTA 2 SAN 40 -70/150 | 150 | 96 | 134,6 | 35,5 | 99,1 | 91 | 1 1/2″ | 2,16 |
