Характеристики
Подача, м3/ч
—
5.4
Напор, м
—
4.1
По запросу
Нашли дешевле?
Под заказ
Наши менеджеры обязательно свяжутся с вами и уточнят условия заказа
Описание
Циркуляционный насос с мокрым ротором с электронным регулированием для систем отопления, вентиляции и кондиционирования воздуха
* Обязательным параметром циркуляционных насосов высокой энергоэффективности является коэффициент EEI ≤ 0,20
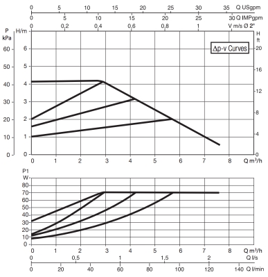
Справа от картинки даны крайние точки (подача при нулевом напоре, напор при нулевой подаче).
Подробные характеристики приведены в таблице:


Технические характеристики
| Модель |
Межосевое расстояние, мм |
Присоединение | Питание, В | P1 макс., Вт | In, А | ЕЕI* | Мин. давление на всасе | ||
| t° | 90° | 100° | |||||||
| EVOPLUS 40/180 XM | 180 | 2"G | 220/240 | 70 | 0,51 | EEI ≤ 0,21 | м.вод.ст | 20 | 25 |
* Обязательным параметром циркуляционных насосов высокой энергоэффективности является коэффициент EEI ≤ 0,20
Справа от картинки даны крайние точки (подача при нулевом напоре, напор при нулевой подаче).
Подробные характеристики приведены в таблице:
| Подача, м3/ч | 0,0 | 2,4 | 3,0 | 4,2 | 5,4 | 7,2 | 9,6 |
| Напор, м | 4,1 | 4,1 | 4 | 3,1 | 2,2 |

Габаритные размеры

| Модель | L | L1 | L2 | B | B1 | B2 | D | D1 | H | H1 | H2 | Вес, кг |
|
EVOPLUS 40/180 XM |
180 | 90 | 90 | 224 | 65 | 159 | 32 | 2″ | 124 | 124 | 204 | 4,7 |
